Scientist Who Devised A Formula To Solve Equations
Camila Farah
In fact this topic is meant to untwist the answers of codycross scientist who devised a formula to solve equations accordingly we provide you with all hints and cheats and needed answers to accomplish the required crossword and find a final word of the puzzle group.
Find out scientist who devised a formula to solve equations answers. Planet earth under the sea inventions seasons continue reading scientist who devised a formula to solve. Each world has more than 20 groups with 5 puzzles each. It will challenge your knowledge and skills in solving crossword puzzles in a new way.
Codycross is without doubt one of the best word games we have played lately. Scientist who devised a formula to solve equations answers this page will help you find all of codycross answers of all the levels. The game is beautifully illustrated and every level comes with new designs that will make you want to play even more. Scientist who devised a formula to solve equations from puzzle 1 group 42 from inventions codycross.
Striving for the right answers. Codycross is a new take on the crossword puzzle or as the authors call it a word game from out of this world. Each world has more than 20 groups with 5 puzzles each. Scientist who devised a formula to solve equations and answer is.
RELATED ARTICLE :
- who is the oldest player in the nfl
- who is the richest family in the world
- who is the smartest kid in the world
Through the cheats and solutions you will find on this site you will be able to pass every single crossword clue. The game was developed by the brazilian team fanatee and considering this is their first take on the trivia games they have made an astonishing job as we ve had a blast playing it and we. Codycross is a famous newly released game which is developed by fanatee. So here we have solved and posted the solution of.
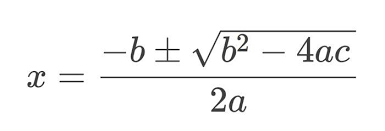
In september loh was brainstorming the mathematics behind quadratic equations when he struck upon a new simplified way of deriving the same formula an alternative method which he describes in his paper as a computationally efficient natural and easy to remember algorithm for solving general quadratic equations. On the application type. Here are all the scientist who devised a formula to solve equations answers. Some of the worlds are.
Codycross is an addictive game developed by fanatee. The move away from geometric algebra dates back to diophantus and brahmagupta but algebra didn t decisively move to the static equation solving stage until al khwarizmi introduced generalized algorithmic processes for solving algebraic problems.
Source : pinterest.com



